Welcome to the website of Wenzhou Bangyuan Sealing Parts Co., Ltd!
Your location:BangYuan >> Products >> R series >> oval ring R Series
oval ring R Series

oval ring R Series

R-type gasket
The ring joint gasket was originally developed for high-pressure/high-temperature applications in the petroleum industry, mainly used for drilling and completion equipment in oil fields.
However, today this product line can also be found on valve and pipeline working devices, as well as some high integrity pressure vessel joints.
The manufacturing of R-type gaskets complies with API 6A, 6B, and ASME B16.20 and is suitable for API ASME/ANSI B16.5 flanges. In elliptical and octagonal configurations, these two types are interchangeable modern octagonal groove flanges.
Pressure: 2000-5000 PSI
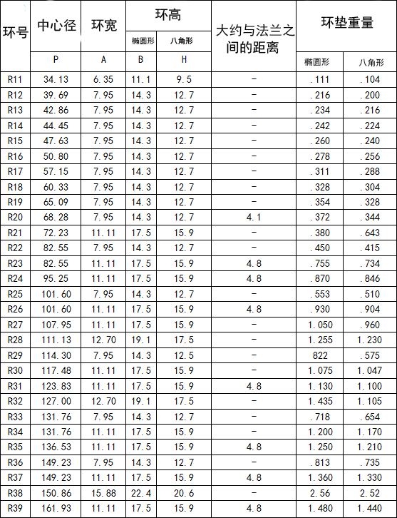
Style and Size


 


公差:(mm)  

A(环的宽度)±0.20
b,H(环的高度)±0.5
P平均螺距(环的直径)±0.18
23°(角)
1/2°
flexftallic风格R环式节点可以制造符合有关标准符合以下法兰代号
API6A
ASME/ANSI B16.5
MSS SP44(ASME B16.47系列)
BS 1560